EN

Daňová evidence 2007

Marcela Doleželová


Daně a jak na ně...
Kniha přehledně seznamuje se zpracováním daňové evidence ty, kteří nemají povinnost vést účetnictví. Zabývá se srozumitelně evidencí majetku a odpisů, pohledávek a závazků, příjmů a výdajů, pravidly inventarizace a archivace. V knize najdete podrobný rozpis daňových povinností pro podnikatele, praktické příklady a návody k sestavení a vyplnění daňových přiznání, formuláře současných daňových přiznání apod.

Informácie

Jazyk čeština
Počet strán 128
EAN 9788025115565
Dátum vydania 24.4.2007
Vek od 15
Formát 167x225 mm
Vydavateľstvo BIZBOOKS
Hmotnosť 0,24
Typ kniha
Väzba brožovaná lepená

Kniha je určena pro podnikatele, kteří vedou daňovou evidenci příjmů a výdajů pro stanovení základu daně z příjmů. Současně je zaměřena na ty, kteří začínají podnikat.

Srozumitelným výkladem vám objasní základní pojmy, principy a způsoby vedení daňové evidence v průběhu roku. Naučí vás, co je předmětem evidence příjmů, výdajů a evidence majetku a závazků.

Seznámíte se se změnami dle platné legislativy od 1. 1. 2007, např. způsobem uplatnění výdajů, výpočtem příjmů spolupracujících osob, výpočtem daně ze společného základu daně manželů.

Poradíme vám, jak získat živnostenské oprávnění a registraci na finančním úřadu.

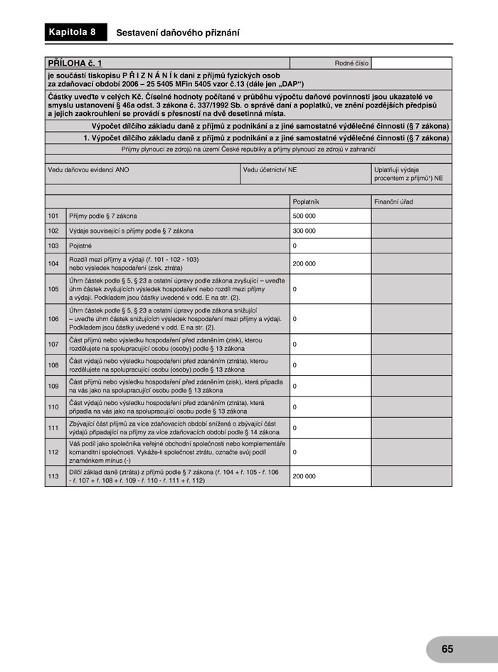
Závěrem naleznete návody k sestavení daňového přiznání k dani z příjmů, k dani silniční, k dani z nemovitostí a ke zpracování přehledu pro zdravotní pojišťovnu a okresní správu sociálního zabezpečení.

Jistě oceníte řadu praktických příkladů, rad a návodů, které pro vás autorka v knize připravila.

O autorce:

Ing. Marcela Doleželová

Absolventka oboru manažer-ekonom Provozně-ekonomické fakulty Mendlovy zemědělské a lesnické univerzity v Brně. Do roku 2004 pracovala v několika předních českých bankovních domech. Od roku 1992 se zabývá problematikou jednoduchého účetnictví (nyní daňová evidence), podvojného účetnictví a pátým rokem působí jako správce konkurzní podstaty.

Súbory na stiahnutie

pdf Obsah.pdf

Uživateľská recenzia

Žiadne užívateľské hodnotenia nie sú dostupné.

Vaše hodnotenie

Používateľskú recenziu môžu vkladať len registrovaní užívatelia

 Prihlásiť
NAPÍŠTE NÁM