EN

Osobní cloud pro domácí podnikání a malé firmy

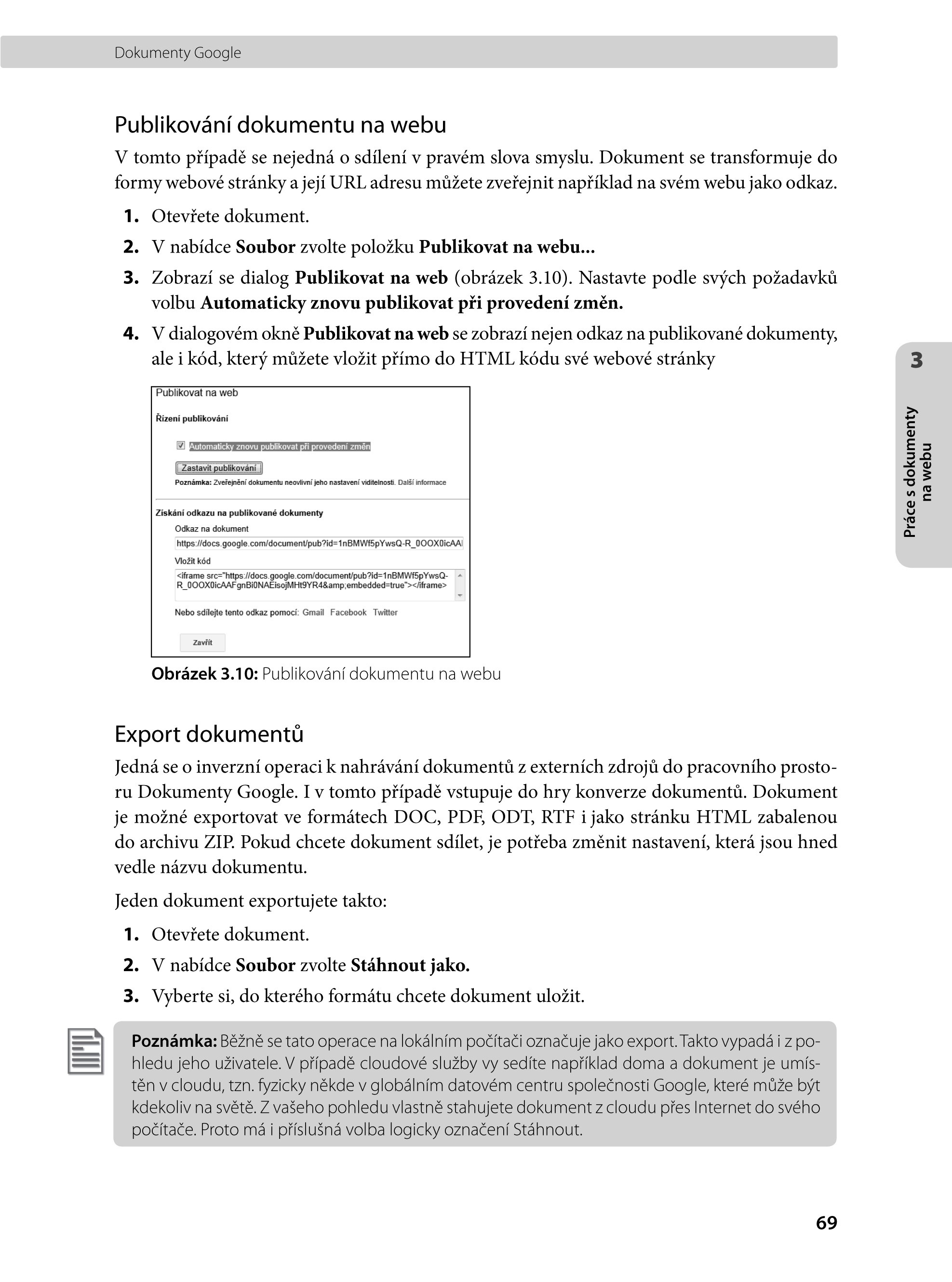
Ľuboslav Lacko


Mějte svá data a aplikace zdarma vždy u sebe
Pojem cloud computing v poslední době skloňují snad všichni, kdo píší o počítačích. Ačkoliv zní velmi učeně, nejde o nic složitého. Jak ho můžete zdarma využít pro své podnikání nebo jen tak pro zábavu? Na to vše vám odpoví tento praktický průvodce mimořádně zkušeného autora. Naučí vás umístit svoje dokumenty, aplikace, osobní agendu, případně agendu malého podnikání na web, abyste s nimi mohli pohodlně a bezpečně pracovat kdekoliv, kdykoliv a z jakéhokoliv zařízení.

Informácie

Jazyk čeština
Počet strán 272
EAN 9788025137444
Dátum vydania 23.7.2012
Vek od 0
Formát 167x225 mm
Vydavateľstvo COMPUTER PRESS
Hmotnosť 0,434
Typ kniha
Väzba brožovaná lepená

Pojem cloud computing v poslední době skloňují snad všichni, kdo píší o počítačích. Ačkoliv zní velmi učeně, nejde o nic složitého. Co může cloud poskytnout vám osobně? Jak ho můžete zdarma využít pro své podnikání, malou firmu nebo jen tak pro zábavu? Na to vše vám odpoví tento praktický průvodce mimořádně zkušeného autora.

Cílem publikace je zpřístupnit vám výhody cloudu, naučit vás umístit svoje dokumenty, aplikace, osobní agendu, případně agendu malého podnikání na web, abyste s nimi mohli pohodlně a bezpečně pracovat kdekoliv, kdykoliv a z jakéhokoliv zařízení, ať již se jedná o osobní počítač, tablet nebo mobilní telefon.

Autor se v knize věnuje mimo jiné těmto tématům:

- Uložení a správa dokumentů v cloudu

- Kontakty, pošta a kalendáře na webu

- Organizace času a spolupráce v týmu

- Řešení pro jedince i firmy na různých platformách

- Propojení služeb s mobilními telefony a tablety

- Řízení agendy jednoduchých domácích projektů

- Mobilní kancelář – využití tabletů a mobilních zařízení

- Cloud jako vhodné řešení pro startup byznys

- Virtuální počítač na webu

O autorovi:

Ľuboslav Lacko je předním slovenským odborníkem na databázové technologie a webové programování, působí jako školitel a konzultant. Publikuje články a seriály v odborných časopisech a je autorem desítek knih a příruček.

Uživateľská recenzia

Žiadne užívateľské hodnotenia nie sú dostupné.

Vaše hodnotenie

Používateľskú recenziu môžu vkladať len registrovaní užívatelia

 Prihlásiť
Autor knihy
Ľuboslav Lacko

Ľuboslav Lacko

Ľuboslav Lacko je předním slovenským technologickým novinářem, který sleduje všechny nové trendy nejen v IT. Působí také jako školitel a konzultant, publikuje články a seriály v českých i slovenských odborných časopisech. Má za sebou desítky odborných příruček a publikací z nejrůznějších oblastí IT. Kromě publikační činnosti se věnuje i vývoji aplikací pro mobilní zařízení.
Zobraziť profil autora
NAPÍŠTE NÁM